I cuscinetti lineari degli elementi volventi, come alberi tondi e boccole, guide profilate, guide a rulli incrociati e persino viti a ricircolo di sfere, hanno due specifiche di capacità di carico – capacità di carico dinamico e capacità di carico statico – che si basano su diversi parametri operativi e criteri di prestazione e sono indipendenti l’uno dall’altro. Per dimensionare e selezionare con precisione un cuscinetto lineare a rotolamento o una vite a ricircolo di sfere, è essenziale comprendere le differenze tra di essi e quando ciascuno di essi viene utilizzato.
La capacità di carico dinamico, C, si basa su prove empiriche in cui un carico di grandezza costante e normale alle superfici portanti consente al cuscinetto di raggiungere una distanza di spostamento definita (guida lineare) o un numero di giri (vite a ricircolo di sfere) senza fatica. La fatica è definita come la presenza di sfaldamento sulla superficie degli elementi volventi o delle piste.
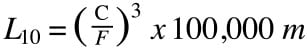
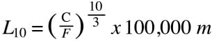
La capacità di carico dinamico viene utilizzata per determinare la durata nominale di un cuscinetto a rotolamento. Questa durata viene comunemente chiamata durata L10 , perché è la durata che il 90% di un gruppo di cuscinetti identici dovrebbe raggiungere in determinate condizioni di carico e velocità.
Per cuscinetti lineari che utilizzano sfere:

Per i cuscinetti lineari che utilizzano rulli:

L 10 = durata calcolata (nominale) del cuscinetto
C = capacità di carico dinamico di base
F = carico applicato
La capacità di carico dinamico e il calcolo della durata L10 sono definiti dalla norma ISO 14728-1 per i cuscinetti lineari e dalla norma ISO 3408-5 per le viti a ricircolo di sfere. La norma sulle viti a ricircolo di sfere specifica che la capacità di carico dinamico si basa su una durata L10 di 1 milione di giri. Tuttavia, lo standard cuscinetto lineare permette la portata dinamica da specificare un L10 vita sia 50.000 mo 100,000 m.
La base della durata L10 per i cuscinetti lineari è importante da notare, soprattutto quando si confrontano guide lineari di produttori diversi o anche di serie diverse dello stesso produttore. Se una guida lineare la cui capacità di carico dinamico è basata su 100.000 m viene confrontata con una guida lineare la cui capacità di carico dinamico è basata su 50.000 m, deve essere applicata una delle seguenti conversioni: Dividere la capacità di carico di 50.000 m per 1,26 OPPURE moltiplicare la Capacità di carico di 100.000 m per 1,26.
Tenere presente che la durata nominale L10 è una durata teorica basata su un ambiente pulito, una lubrificazione adeguata e un montaggio corretto. La vita operativa effettiva del cuscinetto può essere influenzata negativamente da contaminazione, mancanza di lubrificazione, montaggio improprio e altri fattori.
La capacità di carico statico, C 0 , è la quantità di carico che un cuscinetto può sopportare prima che la somma della deformazione della sfera e della pista sia uguale allo 0,01 percento (0,0001 volte) del diametro della sfera, come definito dalla ISO 14728-2. La capacità di carico statico è quasi sempre superiore alla capacità di carico dinamico perché la sua limitazione è la deformazione plastica della sfera e del materiale della pista, che si verifica quando il carico viene applicato al cuscinetto in uno stato statico (fermo) o lento.
I carichi statici sono spesso il risultato di urti al cuscinetto non pianificati e difficili da quantificare. Pertanto, i produttori di cuscinetti lineari e viti a ricircolo di sfere consigliano di applicare un fattore di sicurezza statico, a seconda del tipo di applicazione e delle condizioni operative. Il fattore di sicurezza statica è il rapporto tra il coefficiente di carico statico di base e il carico statico massimo combinato applicato al cuscinetto. Può variare da 2 per condizioni di funzionamento regolare con un basso rischio di vibrazioni, fino a 5 o 6 per applicazioni che possono essere soggette a forti carichi d’urto.
